POD
Menu principal
Chaînes
Directs
Listes de lecture promues
Types
Rechercher un média sur POD
Configuration
Langue
fr
Mode sombre
Mode dyslexie
Affichage automatique des sous-titres
Connexion
Liste des chaînes
Types de vidéos
Audio (42)
Autres (4644)
Colloque (202)
Conférences (2554)
Documentaires (39)
Films institutionnels (113)
Films promotionnels (156)
Interview (152)
Production étudiante (360)
Relation presse (3)
Supports pédagogiques (3694)
Tutoriels (343)
Accueil
Vidéos
12233 vidéos trouvées
Audio
Vidéo
Statistiques de vues
Tri
↘
Direction de tri
Titre
Date d’ajout
Date de l’évènement
Durée
Chargement en cours…
00:01:06
Vérifier qu'une matrice est orthogonale
01:56:52
TD3_CCPH
00:00:48
Berges rive droite rive gauche
01:43:29
M33-1.Risk-Partie-1
00:05:54
Chapitre 9 - exemple 8
00:09:38
Chapitre 9 - théorème de continuité
01:02:51
Very brief presentation of R/exams
00:06:14
Chapitre 9 - exemple 5
00:06:09
Chapitre 9 - exemple 4
00:09:46
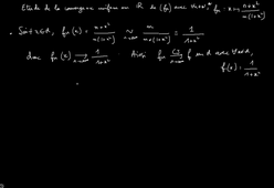
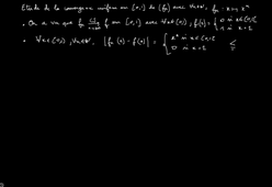
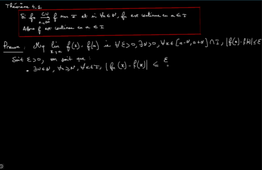
Chapitre 9 - convergence uniforme
02:10:52
Video_TP_deembedding
00:04:05
Chapitre 9 - borne sup
Plus
Chargement en cours…
Nous utilisons des cookies pour personnaliser l’affichage (barre de menu de droite, mode sombre ou dyslexie etc.), gérer la session (authentification) et analyser le trafic du site (pour certaines instances).
En savoir plus
J’ai compris